
电缆的导体有铝和铜两种,铠装电缆就是在普通电缆的最外面加装一层金属保护,以免内部的效用层在运输和安装时受到损坏。下面金环宇电线电缆小编介绍下铝芯、铜芯铠装电缆结构图以及铝芯、铜芯铠装电缆的载流量表。
铠装电缆结构图

图中的钢带就是铠装,主要保护内部导体及聚氯乙烯绝缘层不受损伤。提高电缆的机械强度及防侵能力,非常适合地埋。
铝芯、铜芯铠装电缆型号:
YJV22-铜芯交联聚乙烯绝缘钢带铠装聚氯乙烯护套电力电缆
YJLV22-铝芯交联聚乙烯绝缘钢带铠装聚氯乙烯护套电力电缆
VV22-铜芯聚氯乙烯绝缘钢带铠装聚氯乙烯护套电力电缆
VLV22-铝芯聚氯乙烯绝缘钢带铠装聚氯乙烯护套电力电缆
其中铠装分为钢带铠装(22,23),细钢丝铠装(32,33),粗钢丝铠装(42,43)。
1、VV22钢带铠装电缆图片

2、VV32细钢丝铠装图片

3、VV42粗钢丝铠装图片

铝芯、铜芯铠装电缆载流量表
推荐阅读:铠装电缆22、32、42表示的区别
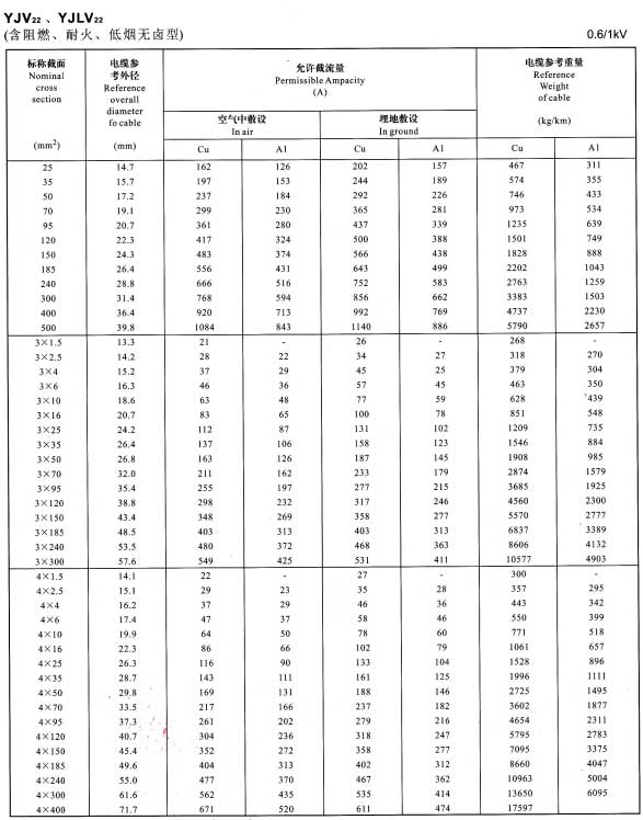
下面分别例出YJV22、YJLV22及VV22、VLV22铝芯、铜芯铠装电缆载流量表。

YJV22、YJVL22单芯、3芯、4芯电缆载流量表

VV22、VLV22单芯、2芯、3芯、4芯、3+1芯电缆载流量表
想了解其它铝芯、铜芯电缆结构图及载流量请咨询网站客服人员。
杨小姐:138 2745 1949
企业QQ:2850667656
邮箱:13827451949@139.com
付小姐:159 1976 7227
企业QQ:2850667650
邮箱:15919767227@139.com
付小姐:138 2882 8976
企业QQ:2850667651
邮箱:13828828976@139.com
杨小姐:138 2882 1707
企业QQ:2850667655
邮箱:13828821707@139.com
大宗洽谈:135 1063 9693翟小姐
企业QQ:2850667659
邮箱:13510639693@139.com
问题反馈·投诉建议:
闫先生:159 1987 5057
邮箱:15919875057@139.com
网 址:www.gdjinhuanyu.cn
top